EnterKnow: Tăng áp là công nghệ được sử dụng phổ biến nhất trong động cơ đốt trong để tạo ra cảm ứng khí nạp cưỡng bức. Các bộ phận chính của turbo tăng áp là tua bin và máy nén. Vai trò của tuabin là sử dụng năng lượng nhiệt và động năng (bộ tăng áp cuộn đôi) của khí thải và chuyển nó thành năng lượng cơ học. Vai trò của máy nén là sử dụng năng lượng cơ học và nén khí nạp để tăng mật độ của nó.
Do hình dạng và phạm vi vận hành tốc độ khác nhau nên có sự không khớp giữa dòng khí thải của động cơ đốt trong và dòng hướng tâm của bộ tăng áp. Nếu hình dạng (diện tích dòng chảy) của tuabin được thiết kế phù hợp với tốc độ tối đa và tải của động cơ (diện tích lớn) thì ở tốc độ thấp và trung bình, khả năng phản hồi của bộ tăng áp sẽ kém. Nếu hình dạng của tuabin phù hợp để đáp ứng nhanh ở tốc độ thấp (diện tích nhỏ), thì khi động cơ hoạt động ở tốc độ cao, tuabin có thể đạt đến giới hạn nghẹt dẫn đến turbo tăng áp có thể chạy quá tốc độ hoặc áp suất khí nạp có thể vượt quá giới hạn tối đa trên đường nạp.
Một bộ tăng áp lý tưởng phải có khả năng cung cấp áp suất khí nạp (tăng) cần thiết bất kể điểm vận hành của động cơ (tốc độ và mô-men xoắn). Điều này là không thể đối với turbo tăng áp thông thường vì tốc độ của trục tăng áp phụ thuộc vào lưu lượng khối của khí thải, phụ thuộc vào điểm vận hành của động cơ.
Đối với bộ tăng áp có hình dạng cố định, ở tốc độ động cơ thấp, lưu lượng khối khí thải thấp, do đó tốc độ của trục bộ tăng áp thấp, có nghĩa là lượng khí tăng áp thấp. Mặt khác, ở tốc độ động cơ cao, tốc độ dòng khí thải cao, tốc độ của trục turbo tăng áp cũng cao, dẫn đến tăng áp (áp suất) khí nạp cao.
1. Turbo tăng áp hình học biến thiên – VGT là gì?

Variable Geometry Turbocharger – Bộ tăng áp hình học biến thiên (viết tắt là VGT), đôi khi được gọi là bộ tăng áp giclơ (jiclơ) biến thiên (Variable-Nozzle Turbocharger – VNT), là một loại bộ tăng áp, thường được thiết kế để cho phép thay đổi tỷ lệ khung hình hiệu quả (tỷ lệ A/R) của bộ tăng áp khi điều kiện thay đổi. Điều này được thực hiện bằng cách sử dụng các cánh gạt có thể điều chỉnh được đặt bên trong vỏ tuabin giữa cửa vào và tuabin, những cánh gạt này ảnh hưởng đến dòng khí hướng tới tuabin. Lợi ích của VGT là tỷ lệ A/R tối ưu ở tốc độ động cơ thấp rất khác so với tỷ lệ khung hình tối ưu ở tốc độ động cơ cao.
Nếu tỷ lệ khung hình quá lớn, turbo sẽ không tạo được lực đẩy ở tốc độ thấp; nếu tỷ lệ khung hình quá nhỏ, turbo sẽ làm nghẹt động cơ ở tốc độ cao, dẫn đến áp suất ống xả cao, tổn thất bơm cao và cuối cùng là công suất đầu ra thấp hơn. Bằng cách thay đổi hình dạng của vỏ tuabin khi động cơ tăng tốc, tỷ lệ khung hình của turbo có thể được duy trì ở mức tối ưu. Do đó, VGT có độ trễ tối thiểu, ngưỡng tăng áp thấp và hiệu suất cao ở tốc độ động cơ cao hơn.
2. Dòng chất lỏng chảy qua một đường ống
Để hiểu nguyên lý làm việc của bộ tăng áp có hình dạng thay đổi (VGT), chúng ta cần xem lại một số định luật thủy động lực học. Hãy tưởng tượng bạn có một đường ống có đường kính thay đổi dọc theo chiều dài của nó.

- A [m2] – diện tích
- v [m/s] – tốc độ
- p [Pa] – áp suất
Trong diện tích lớn hơn A1, chất lỏng sẽ có tốc độ dòng khối nhất định [kg/s]. Vì khối lượng của chất lỏng được bảo toàn nên để có thể truyền cùng khối lượng đó qua diện tích nhỏ hơn A2 thì tốc độ của chất lỏng phải tăng lên. Các định luật sau đây áp dụng cho chất lỏng chảy qua ống có đường kính thay đổi:
A1⋅v1=A2⋅v2=const.
Điều này có nghĩa là, để kết quả của tích không đổi, nếu tiết diện dòng chảy giảm thì tốc độ của chất lỏng phải tăng. Đây được gọi là luật liên tục.

ρ [kg/m3] – tỷ trọng chất lỏng
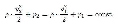
Điều này có nghĩa là, ở đoạn có tốc độ chất lỏng thấp hơn, để duy trì tổng không đổi giữa các kỳ, áp suất phải được tăng lên. Đây được gọi là định luật Bernoulli.
Tóm lại, đối với một chất lỏng chảy qua hai mặt cắt có diện tích khác nhau, các mối quan hệ sau đây là đúng:
- A1>A2
- p1>p2
- v1<v2
3. Tỷ lệ A/R của bộ tăng áp
Một đặc tính (thông số) hình học quan trọng của bộ tăng áp là tỷ lệ A/R, trong đó A là diện tích mặt cắt ngang đầu vào của tua bin/máy nén và R là bán kính của đường tâm turbo đến trọng tâm của diện tích A. Tỷ lệ A/R (diện tích chia cho bán kính) áp dụng cho cả máy nén và tuabin, nhưng tác động lớn đến hiệu suất của bộ tăng áp liên quan đến tỷ lệ A/R của tuabin.
Công suất dòng của tuabin phụ thuộc vào tỷ lệ A/R của vỏ và có tác động đáng kể đến hiệu suất tổng thể của bộ tăng áp.
- Tỷ lệ A/R nhỏ sẽ làm tăng tốc độ của khí thải khi nó đi vào bánh tuabin, máy nén sẽ quay nhanh hơn và tăng lượng khí nạp tăng cường. Tác động tiêu cực của tỷ lệ A/R nhỏ là dòng tiếp tuyến của khí thải vào bánh tuabin, làm giảm công suất dòng chảy của bộ tăng áp. Hiệu ứng này là làm tăng áp suất ngược trong ống xả ở tốc độ động cơ cao, dẫn đến việc trao đổi khí khó khăn (khí thải và không khí nạp) của động cơ và giảm công suất cực đại.
- Tỷ lệ A/R lớn sẽ cải thiện công suất dòng chảy của bộ tăng áp ở tốc độ động cơ cao, giảm áp suất ngược trong ống xả. Điều này sẽ nâng cao khả năng “thở” (trao đổi khí) của động cơ ở tốc độ cao và đẩy công suất cực đại về giá trị cao hơn. Hạn chế là ở tốc độ động cơ thấp và trung bình, tốc độ khí thải sẽ thấp hơn (do diện tích dòng khí lớn hơn) và việc tăng lượng khí nạp sẽ chậm hơn (turbo-lag).
Để hiểu rõ hơn, hãy lấy ví dụ hai bộ tăng áp có tỷ số A/R khác nhau và cùng một động cơ cơ sở (6 xi-lanh, dung tích 3 lít).

Tóm lại, bộ tăng áp hình học biến thiên (VGT) đang kết hợp các lợi ích của tỷ lệ A/R nhỏ và tỷ lệ A/R lớn thành một đơn vị, tập hợp các ưu điểm của cả hai loại.
4. Các loại tăng áp hình học biến thiên VGT
Bộ tăng áp hình học biến thiên là bộ tăng áp là tỷ lệ A/R thay đổi. Cách hợp lý duy nhất để có được tỷ lệ A/R thay đổi là thay đổi diện tích mặt cắt ngang A của dòng khí thải. Bán kính R luôn luôn không đổi.
So với bộ tăng áp hình học cố định, bộ tăng áp hình học biến thiên được thiết kế để:
- Tăng áp suất tăng áp khí nạp ở tốc độ động cơ thấp.
- Cải thiện thời gian phản hồi của bộ tăng áp trong các giai đoạn vận hành động cơ tạm thời.
- Tăng khả năng có được mô men xoắn tối đa của động cơ.
- Ngăn chặn việc tăng áp quá mức ở tốc độ động cơ cao.
- Giảm lượng khí thải và cải thiện khả năng tiết kiệm nhiên liệu.
Tùy thuộc vào nhà sản xuất bộ tăng áp, có một số giải pháp kỹ thuật có sẵn trong ngành công nghiệp ô tô. Bất kể hệ thống cơ học được sử dụng là gì, kết quả đều như nhau: sử dụng các bộ phận có thể di chuyển được để cung cấp diện tích mặt cắt ngang A thay đổi để có được tỷ lệ A/R tổng thể có thể thay đổi.
Các loại tăng áp hình học biến thiên phổ biến nhất là:
- Cánh gạt quay (Pivoting vane)
- Thành/vách tường di chuyển (Moving wall)
- Vòng trượt (Sliding ring)
- Tiết diện thay đổi (Variable area)
4.1. Bộ tăng áp hình học biến thiên cánh gạt
Bộ tăng áp cánh gạt xoay (xoay) được sử dụng rộng rãi trong các ứng dụng xe chở khách và chúng là loại bộ tăng áp hình học biến thiên (VGT) phổ biến nhất.

Sự thay đổi tiết diện cắt ngang dòng chảy của tuabin đạt được nhờ các cánh gạt quay (3). Chúng được liên kết cơ học với một vòng có thể điều chỉnh (5), được điều khiển bởi bộ truyền động khí nén (9) thông qua hệ thống đòn bẩy cơ học (6).
Tùy thuộc vào điểm làm việc của động cơ, mô-đun điều khiển động cơ (ECM) điều chỉnh áp suất không khí trong bộ truyền động khí nén, đóng hoặc mở các cánh gạt quay.
Ở tốc độ động cơ thấp, các cánh ở vị trí hẹp, diện tích mặt cắt ngang của dòng khí thải nhỏ, tỷ số A/R ở giá trị tối thiểu và vận tốc của khí thải qua tuabin ở mức tối đa. Điều này chuyển thành tốc độ máy nén cao và lượng khí nạp tăng áp cao.

Ở tốc độ động cơ cao, các cánh gạt ở vị trí rộng, diện tích mặt cắt ngang cho dòng khí thải lớn, tỷ lệ A/R đạt giá trị cực đại và vận tốc của khí thải qua tuabin ở mức tối thiểu. Tốc độ máy nén sẽ chậm hơn nhưng đủ để cung cấp lượng khí nạp cần thiết.

Ngoài ra, công suất dòng của tuabin được tăng lên, điều này sẽ làm giảm áp suất ngược của khí thải và cho phép động cơ “thở” bình thường.
Vị trí của các cánh (tỷ lệ A/R) có thể được kiểm soát giữa vị trí tối thiểu (đóng hoàn toàn) và vị trí tối đa (mở hoàn toàn). Vị trí chính xác của các cánh gạt phụ thuộc vào điểm làm việc của động cơ đốt trong (tốc độ và mô men xoắn) và được điều chỉnh bởi môđun điều khiển động cơ (ECM) hoặc môđun điều khiển hệ thống truyền động (PCM).
Thiết kế phổ biến nhất của bộ tăng áp hình học biến thiên là sử dụng các cánh quay (cánh gạt) được bố trí giống như những thanh nan trong rèm cửa sổ xung quanh bánh tuabin. Các cánh này được di chuyển để điều chỉnh diện tích mặt cắt ngang của dòng khí thải đi qua tuabin. Các cánh gạt được lắp trong vỏ tuabin với một đầu được ghim vào vỏ. Đầu kia của cánh được nối thông qua một chốt với một tấm gọi là vòng đồng nhất (unison ring). Vòng quay đồng nhất này làm cho tất cả các cánh gạt quay quanh điểm trục cố định.

Cụm cánh gạt quay còn được gọi là vòng giclơ hay vòng khoang tuabin.
Ở nhiệt độ khí thải cao, ma sát khô giữa kim loại với kim loại giữa các cánh gạt, trục quay và vòng có thể gặp vấn đề và khiến cơ cấu quay bị dính. Nếu chúng bị mắc kẹt ở vị trí mở, hiệu suất động cơ sẽ kém ở tốc độ thấp. Nếu các cánh gạt bị kẹt ở vị trí đóng (hẹp), ở tốc độ động cơ cao sẽ xuất hiện áp suất ngược khí thải đáng kể, dẫn đến chạy quá tốc độ và thậm chí làm hỏng tuabin.
Thiết kế cánh gạt xoay hầu hết được sử dụng trong các ứng dụng diesel và xăng cho xe chở khách.
4.2. Bộ tăng áp hình học biến thiên – Vách tường chuyển động
Một cách khác để đạt được tỷ lệ A/R thay đổi là sử dụng một vách tường di chuyển bên trong bộ tăng áp. Diện tích mặt cắt thay đổi sẽ được tạo ra giữa vách chuyển động và vỏ tuabin.

Trong thiết kế này, vách chuyển động (6) chứa vòng vòi phun, với các cánh gạt được cố định ở một góc không đổi. Vị trí của vòng vòi phun có liên quan đến vỏ tuabin, vị trí của nó được điều chỉnh bằng bộ truyền động khí nén (3). Khi giảm diện tích mặt cắt ngang, các cánh của vòng vòi phun đang đi vào một bức tường cố định (4) thông qua các khe hướng tâm.

Ở tốc độ động cơ thấp, vòng vòng jiclơ hay khoang trượt bị đẩy sang phải, làm giảm diện tích mặt cắt ngang và tỷ số A/R. Điều này sẽ buộc tốc độ khí thải tăng lên, bộ tăng áp sẽ quay nhanh hơn và lượng khí nạp tăng lên.
Ở tốc độ động cơ cao, vòng jiclơ (tường chuyển động) ở vị trí tối đa bên trái, diện tích mặt cắt ngang của dòng khí thải ở mức tối đa. Tỷ lệ A/R cũng ở giá trị tối đa.
So với thiết kế cánh gạt xoay, bộ tăng áp hình học biến thiên vách tường chuyển động có ưu điểm là ít bộ phận chuyển động hơn, nghĩa là ít điểm mài mòn hơn và độ tin cậy cao hơn (ít nguy cơ hỏng hóc hơn). Thiết kế tường chuyển động có tiềm năng mang lại hiệu quả tốt hơn khi lưu lượng khí thải cao. Không có nhiều điểm quay, độ rò rỉ khí thải được giảm thiểu và hiệu suất tổng thể được cải thiện. Nhược điểm chính của thiết kế tường chuyển động là chi phí sản xuất cao, chủ yếu là do khe hở hẹp và tiếp xúc tối thiểu giữa các cánh gạt của vòng jiclơ và các lỗ của tấm che.
Thiết kế tường chuyển động hầu hết được sử dụng trong các ứng dụng động cơ diesel cho xe thương mại. Ví dụ, Scania đang sử dụng trên các ứng dụng động cơ diesel của mình một bộ tăng áp hình học biến thiên jiclơ trượt (VGT).

Hình dạng và dòng khí trong bộ tăng áp hình học biến thiên được điều chỉnh bởi vòng jiclơ trượt, được điều khiển bởi bộ truyền động điện. Điều này cho phép kiểm soát chính xác cả khí nạp vào động cơ và dòng khí EGR.
Luồng khí nạp có thể được tối ưu hóa trong phạm vi tốc độ làm việc của động cơ. Điều này có nghĩa là VGT có thể được sử dụng để cải thiện phản ứng của động cơ và mô-men xoắn ở vòng tua thấp. Nó cũng được sử dụng để tăng tốc độ chuyển số với Scania Opticruise, bằng cách duy trì tốc độ tuabin trong quá trình chuyển số.
4.3. Bộ tăng áp hình học biến thiên vòng trượt – Sliding ring
Thiết kế vòng vách ngoài tương tự như kiến trúc tường chuyển động. Sự khác biệt chính là các cánh gạt được cố định trong một tấm jiclơ tĩnh. Sự thay đổi diện tích mặt cắt ngang của dòng khí thải được thực hiện bằng một vòng chuyển động (trục).

Ở vị trí đóng (hẹp), vòng trượt nằm sát tấm jiclơ và toàn bộ dòng khí thải bị đẩy qua các cánh gạt. Đây là vị trí có tỷ số A/R nhỏ nhất, tốc độ trục cao và lượng khí nạp tăng cao.
Khi vòng trượt di chuyển ra khỏi tấm jiclơ, khí thải một phần đi qua cụm cánh gạt và đi thẳng vào tuabin. Ở vị trí này, tuabin có tỷ lệ A/R cao hơn, tốc độ trục thấp hơn và máy nén cung cấp lượng khí tăng cường thấp hơn.
4.4. Bộ tăng áp tiết diện thay đổi – Turbo tăng áp dòng chảy biến thiên
Bộ tăng áp hình học biến thiên với các cánh gạt có thể đạt được tỷ lệ A/R thay đổi bằng cách xoay các cánh gạt xung quanh điểm xoay của chúng. Nhược điểm chính của công nghệ này là hệ thống cơ khí phức tạp, kém tin cậy và chi phí cao.
Aisin Seiki đã thiết kế một bộ tăng áp có hình dạng thay đổi có hệ thống cơ khí đơn giản hơn nhiều, do đó giảm chi phí sản xuất và tăng độ tin cậy. Bộ tăng áp dòng chảy biến thiên (VFT) do Aisin Seiki phát triển dựa trên nguyên tắc diện tích thay đổi. Vỏ tuabin có hai cuộn, một cuộn bên trong và một cuộn bên ngoài. Một van xoay trung tâm dẫn dòng khí thải qua cánh bên trong, cánh bên ngoài hoặc cả hai, tùy thuộc vào điểm vận hành của động cơ (tốc độ và mô-men xoắn).
Dọc theo thành bộ tăng áp, giữa cuộn bên trong và cuộn bên ngoài còn có một số cánh gạt đứng yên giúp chuyển hướng dòng khí thải trong bánh tuabin.
So với bộ tăng áp hình học biến thiên có cánh gạt xoay, số lượng bộ phận trong bộ tăng áp dòng chảy biến thiên nhỏ hơn. Ngoài ra, chỉ có một bộ phận chuyển động là van trung tâm, cho phép mô-đun điều khiển động cơ (ECM) sử dụng thuật toán điều khiển đơn giản, tương tự như thuật toán được sử dụng cho bộ tăng áp hình học cố định có cửa xả – wastegate.

Ở tốc độ động cơ thấp (tốc độ dòng khí thải thấp), van trung tâm (3) đóng hoàn toàn và khí thải bị đẩy qua cuộn bên trong (1), có diện tích mặt cắt ngang và tỷ lệ A/R nhỏ hơn. Ở trạng thái này, không có luồng khí thải vào cuộn bên ngoài mặc dù có các lối đi giữa cuộn bên ngoài và bên trong, vì cuộn bên ngoài (2) được coi là buồng điều áp tĩnh.
Ở tốc độ động cơ cao (tốc độ dòng khí thải cao), van trung tâm điều khiển lượng khí thải đi vào cuộn ngoài. Khí thải đi vào cuộn bên ngoài được đưa vào cuộn bên trong thông qua các cánh đứng yên và hòa vào dòng chảy ở cuộn bên trong. Hướng của dòng chảy tới rôto tuabin là sự kết hợp các vectơ của hai dòng chảy. Việc thay đổi góc dòng tới rôto tua bin có thể điều khiển tốc độ tua bin và do đó kiểm soát áp suất đầu vào tua bin (áp suất ngược khí thải của động cơ).
Bộ tăng áp dòng chảy biến thiên (VFT) là một lựa chọn đơn giản hơn và chi phí thấp hơn nhiều so với bộ tăng áp hình học biến thiên cánh gạt hoặc tuabin tường chuyển động. Các nhà sản xuất ô tô Nhật Bản (Honda) đã tích hợp VFT trên cả động cơ xăng và diesel.
Về hệ thống truyền động, bộ tăng áp có hình dạng thay đổi có bộ truyền động khí nén hoặc bộ truyền động điện. Mặc dù chi phí cao hơn, nhưng bộ tăng áp dẫn động bằng điện có thời gian đáp ứng nhanh hơn và khả năng dẫn động các bộ phận chuyển động chính xác hơn.
5. Ưu điểm của bộ tăng áp hình học biến thiên
- Mô-men xoắn cực đại ở vòng tua thấp cao hơn: bộ tăng áp có hình dạng thay đổi có thể cải thiện mô-men xoắn cực đại của động cơ ở khu vực vòng tua thấp do khả năng của bộ tăng áp cung cấp khối lượng không khí cao hơn; điều này có nghĩa là nhiều nhiên liệu được phun vào hơn, do đó áp suất và mô-men xoắn hiệu dụng trung bình cao hơn
- Phản ứng mô-men xoắn của động cơ nhanh hơn: đặc biệt là ở khu vực vòng tua thấp, độ trễ mô-men xoắn của động cơ được giảm thiểu do khả năng tăng tốc nhanh hơn của bộ tăng áp và cung cấp lượng khí nạp cần thiết
- Tỷ lệ không khí-nhiên liệu cao hơn ở tốc độ động cơ thấp: lượng khí nạp tăng thêm mang lại tỷ lệ không khí-nhiên liệu cao hơn (có nhiều không khí hơn để đốt cháy) có thể giúp giảm lượng khí thải
- Giảm tổn thất do tiết lưu trong ống xả: bộ tăng áp hình học biến thiên không cần cửa xả vì dòng khí thải được điều chỉnh bởi các cánh xoay, vòng trượt hoặc van trung tâm; do đó tổn thất điều tiết của ống xả giảm đi, làm tăng khả năng “thở” (thực hiện trao đổi khí) của động cơ với ít tổn thất hơn
- Cải thiện tốc độ tuần hoàn khí thải (EGR): đối với hệ thống EGR áp suất cao, khi van EGR mở, điều quan trọng là áp suất khí thải phải cao hơn áp suất khí nạp để có lưu lượng khí; điều này có thể tăng áp suất ngược trong ống xả, bộ tăng áp hình học biến thiên giúp cải thiện hiệu quả của hệ thống EGR
- Cải thiện hiệu suất phanh động cơ: khi động cơ ở trạng thái chạy quá tốc độ (hãm động cơ), nếu tỷ số A/R của tuabin nhỏ thì áp suất ngược trong ống xả sẽ cao hơn; trong trường hợp này, mô men phanh của động cơ sẽ cao hơn vì nó cần nén không khí trong khí thải ở mức cao hơn.
Tùy thuộc vào nhà sản xuất, các bộ tăng áp có hình dạng thay đổi có các từ viết tắt khác nhau, nhưng tất cả chúng đều đạt được cùng một mục đích: tỷ lệ A/R thay đổi của tuabin:
- VGT – Variable Geometry Turbocharger (Cummins, Holset)
- VNT – Variable Nozzle Turbine (Honeywell Garrett Turbo Systems)
- VFT – Variable Flow Turbocharger (Aisin Seiki)
- VTG – Variable Turbine Geometry (BorgWarner Turbo Systems and ABB)
- VGS – Variable Geometry System turbocharger (IHI Turbo)
- VTA – Variable Turbine Area (MAN Diesel Turbo Systems)








Discussion about this post